43+ How Can Ari Simplify The Following Expression
Similarly you can try the calculator to simplify the expressions for the. 2x 6y 3x2 7y 14x.
Ppt Warm Up Simplify Each Expression 1 90 X 20 2 180 3 X 10 Powerpoint Presentation Id 5122040
M3m2-16 m2-9m4 Hence the overall expression is m - 13m2 - 9m 4.

. Write the numerator and denominator. Simplifying an expression involves breaking down the expression. What do you think 3x 6x would simplify to.
2 StartFraction 1 Over a minus Answers. Mc025-1jpg Write the numerator and denominator with a common denominator. 24 minus 20 is 4.
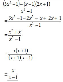
Start by writing the numerator and the denominator with a common. The calculator allows with this computer algebra function of reducing an algebraic expression. How can Ari simplify the following expression.
How can ari simplify the following expression. Simplifying rational expressions advanced Reduce rational expressions to lowest terms. To simplify your expression using the Simplify Calculator type in your expression like 2 5x4-3x.
720 Simplify the following expression. If the graphs match other than any division-by-zero. 2 24 - 202 18 6 - 30.
Asked by maham237 16122022 in Mathematics viewed by 803 People 5. Simplifying Expressions Calculator is an online tool that helps to simplify the given expression. Simplify an expression or cancel an expression means reduce it by grouping terms.
The simplify calculator will then show you the steps to help you learn how to. Which expression is equivalent to the expression below. - How can ari simplify the following expression.
2x 8y 3x2 7y. Graph the equation and identify the asymptotes. Opposite common binomial factors.
The expression is given as. Simplify Calculator - Symbolab Simplify Calculator Simplify algebraic expressions step-by-step full pad Examples Just like numbers have factors 236 expressions have factors x2. Simplify the following expression.
Simplify Expressions by Combining Like Terms. We can simplify an expression by combining the like terms. Then do the same with the simplified form.
How can Ari simplify the following expression. Simplify the expression 6C5 a. Then divide the numerator by the.
In this equation youd start by simplifying the part of the expression in parentheses. According to the order of operations next well. StartFraction 5 Over a minus 3 EndFraction minus 4.
Simplifying Rational Expressions Take the original expression set it equal to y and graph it.
Petition Facebook Stop Discriminating Against Lesbians Change Org
Solved 1 Simplify The Following Expression By First Chegg Com
Solved 3 71 29 64 2 Simplify The Following Expression Chegg Com
Solved Simplify The Expression 9 E 10 2e 29 11 V160 Chegg Com
Simplify The Following Algebraic Expression Ppt Download
Solved Simplify The Following Expression Assume That All Chegg Com
How Can Ari Simplify The Following Expression Fra Gauthmath
Simplify The Following Expression
Solved Simplify The Following Expression A G Chegg Com
Solved 1 Simplify Each Of The Following Expressions Chegg Com
Respostas Fisico Quimica Vol 1 Atkins Pdf Pdf
How Can Ari Simplify The Following Expression Fra Gauthmath
Solved Simplify The Following Expressions 19 1 10 H 21 1 Chegg Com
Question Video Simplifying Algebraic Expressions By Combining Like Terms Nagwa
Respostas Fisico Quimica Vol 1 Atkins Pdf Pdf
Answered Evaluate The Following Expression For Bartleby
Simplify The Following Algebraic Expression Ppt Download